Version
menu

Steering speaker panning illustrated

When Speaker Panning is set to Steering, the Speaker Panner can be used to redistribute the content of an object’s source audio amongst the channels of its Output Bus, including possible height channels. With this mode selected, the Edit button is available and opens the Speaker Panner. The Speaker Panner contains a two-dimensional graph view with X, Y, and Z coordinates and a control point in the center. You can drag the control point anywhere within the graph view. Instead of changing the volume of the input channels like the Balance-Fade panner, the Steering panner changes the position of the input channels, and then pans the result on the channels of the Output Bus.

If the source audio has more channels than the Output Bus, the content is first downmixed. If the source audio has fewer channels than the Output Bus, the content is not upmixed; channels not existing in the source audio will be silent in the Output Bus unless the Speaker Panner is used to redistribute audio towards those channels.

When the control point is in the center, the result is identical to direct speaker assignment: the input channels are routed to their corresponding output channels, downmixed if necessary, but never upmixed.

[Note]Note

The Z-axis is not represented in the graph view; its value is controlled and indicated solely by the Z-axis text box. Additionally, it has no impact on a configuration that does not have channels in the height layer.

The actual distribution depends on the Output Bus configuration. For example, the Y coordinate has no effect when the Output Bus is stereo. Refer to the following sections for detailed examples.

Steering side to side

The figures in the following table illustrate the case of a 5.x channel input panned on a 5.x channel bus. The position of the control point effectively moves the input channels in the corresponding direction, where they are re-panned in the output channels. For example, when the control point is dragged towards the left, R is virtually displaced towards the left.

2.0 channel input panned on a 5.x channel bus

Speaker Panner

Output Bus Meter

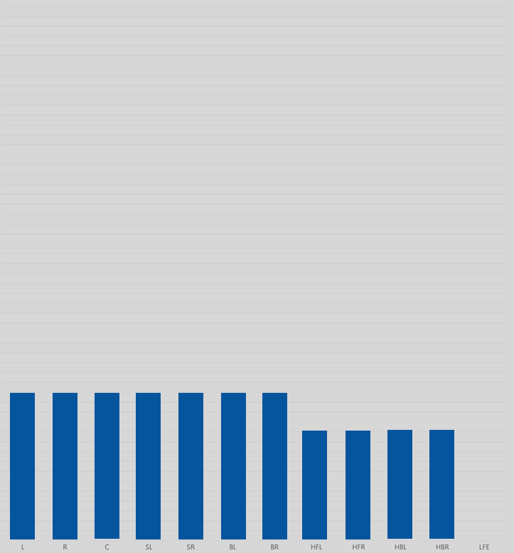
X = 0, Y = 0.

The L channel of the input plays in the FL channel of the bus, and the R channel of the input plays in the FR channel of the bus. The other channels of the bus are silent.

X = -25, Y = 0.

The input’s R is repositioned in between the FR and C channels.

The input's R plays in both the FR and C channels of the bus.

X = -50, Y = 0.

R is positioned directly over C.

The C channel of the bus plays the signal of R, and the FR channel of the bus is silent.

X = -75, Y = 0.

R is halfway between FL and C.

The C channel contains the signal of the input’s R channel, but quieter, and the FL channel of the bus contains a mixture of the input’s L and R channels. The other channels are silent.

Steering front to back

The figures in the following table illustrate the case of various multichannel inputs panned on a 5.x channel bus. The position of the control point effectively moves the input channels in the corresponding direction, where they are re-panned in the output channels. For example, when the control point is dragged down, the L and R channels of the input start to play in the surround channels of the bus.

Various multichannel inputs panned on a 5.x channel bus

Speaker Panner

Output Bus Meter

X = -50, Y = -50.

2.0 input.

L is heard in both the FL and SL channels of the bus, while R is heard in all channels of the bus.

X = -50, Y = -100.

2.0 input.

L plays strictly in the SL channel of the bus, while R plays in both the SL and SR channels of the bus.

X = -50, Y = 50.

2.0 input.

Notice that moving the control point in the positive Y direction has no effect and is identical to Y = 0. This example shows that the displacement of the input channel is equivalent to the X = -50, Y = 0 case shown in Steering side to side. This is because the input sound is only stereo, and does not have content in the surround channels that could be steered to the front.

X = -50, Y = -50.

4.0 input.

The FL channel of the input is panned to the FL channel of the bus, FR is panned to the C channel of the bus, SL is panned between the SL and FL channels of the bus, and SR is panned between all channels of the bus.

Steering up

Although not represented in the 2D plane of the user interface, the Z coordinate of the control point can be changed using the corresponding slider in the lower-left corner of the Speaker Panner.

By increasing Z to a value above 0, the content of the surround channels of a 7.1.4 sound starts to play in the four channels of the height layer of a 7.1.4 Output Bus. The figures in the following table illustrate this effect.

Z Coordinate

Output Bus Meter

Z = 0

The initial state.

Z = 50

The content of the surround layer is evenly split between the channels of the surround layer and of the height layer.

Z = 100

All the content of the surround layer is panned across the channels of the height layer.

Steering down

Although not represented in the 2D plane of the user interface, the Z coordinate of the control point can be changed using the corresponding slider in the lower-left corner of the Speaker Panner.

By reducing Z to a value below 0, the content of the height channels of a 7.1.4 sound starts to play in the seven channels of the surround layer of a 7.1.4 Output Bus. The figures in the following table illustrate this effect.

Z Coordinate

Output Bus Meter

Z = 0

The initial state.

Z = -50

The content of the height layer is evenly split between the channels of the surround layer and of the height layer.

Z = -100

All the content of the height layer is panned to the surround layer.


Cette page a-t-elle été utile ?

Besoin d'aide ?

Des questions ? Des problèmes ? Besoin de plus d'informations ? Contactez-nous, nous pouvons vous aider !

Visitez notre page d'Aide

Décrivez-nous de votre projet. Nous sommes là pour vous aider.

Enregistrez votre projet et nous vous aiderons à démarrer sans aucune obligation !

Partir du bon pied avec Wwise